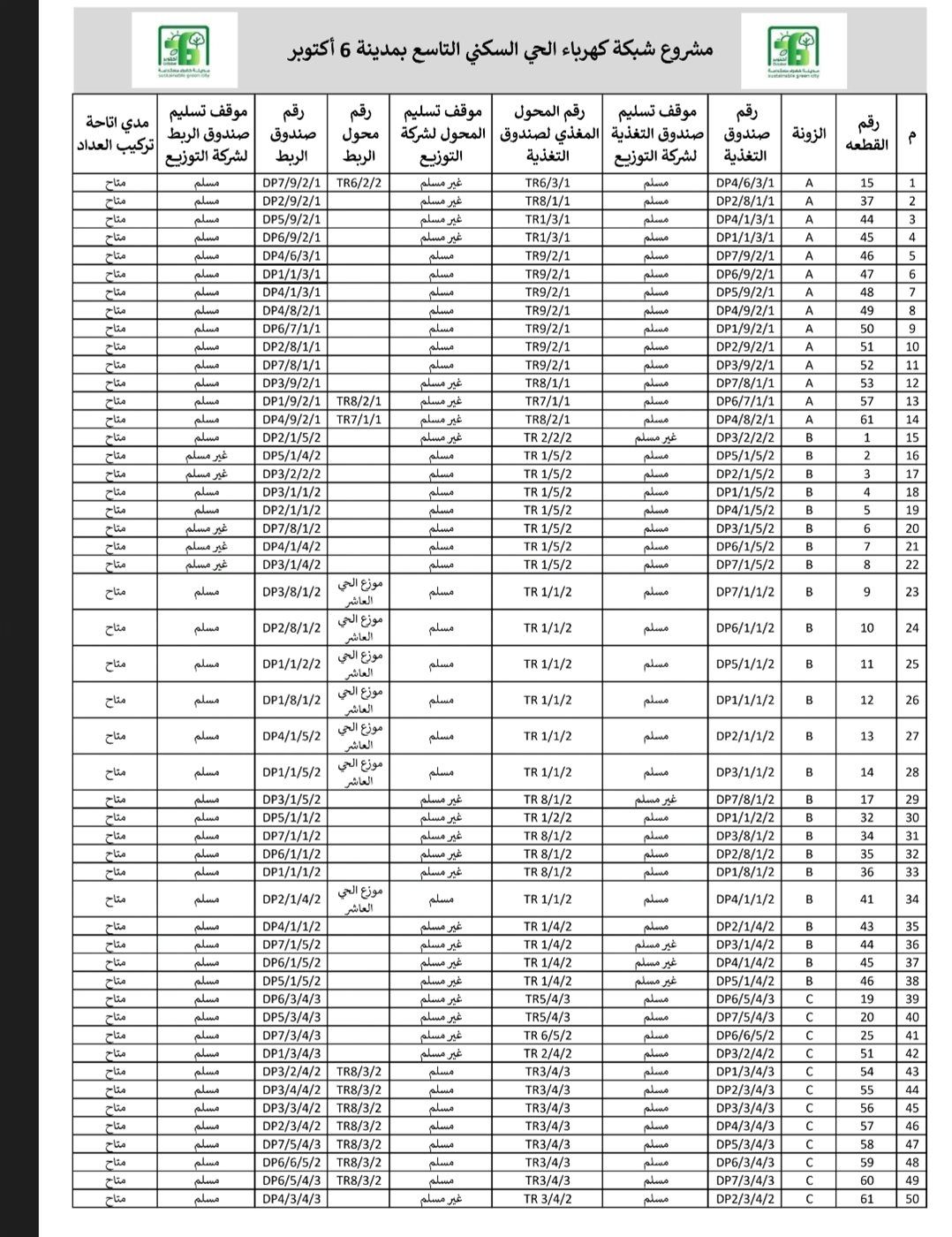
أعلن جهاز مدينة السادس من أكتوبر، عن إتاحة تركيب عدادات الكهرباء لعدد من قطع الأراضي ضمن مشروع الحي السكني التاسع.
ونشر الجهاز عبر حسابه الرسمي بموقع التواصل الاجتماعي فيسبوك، تفاصيل القطع المتاح لها التقدم لتركيب عدادات الكهرباء حتي تاريخه، والموضحة في الصور التالية..


وأوضح جهاز 6 أكتوبر، أن هذا الإجراء يأتي في ضوء حرص الجهاز على دعم أصحاب الأراضي وتمكينهم من استكمال أعمال البناء والتشغيل، وتقديم كافة أوجه التيسير في الإجراءات والخدمات.
وأكد المهندس نادر زعفر رئيس جهاز مدينة 6 أكتوبر أن هذا الملف يتم متابعته بشكل مستمر وتحت إشراف مباشر من المهندس وسام صلاح نائب رئيس الجهاز، وذلك لتسريع معدلات الإنجاز وتلبية احتياجات المواطنين بأعلى كفاءة.
ودعا الجهاز المواطنين أصحاب قطع الأراضي المدرجة بالرابط والموضحة في الصور، إلى سرعة الاطلاع واتخاذ الإجراءات اللازمة على أن يتم إتاحة تركيب عدادات الكهرباء لبقية قطع الأراضي تباعا بالتنسيق مع شركة جنوب القاهره لتوزيع الكهرباء.



















0 تعليق